F@st2704 - zablokowane porty

ROZWIĄZANE

Poziom 16, Badacz Przestworzy
  • 6
  • 2
  • 1

F@st2704 - zablokowane porty

Witam, od pewnego czasu próbuję odblokować porty w moim routerze F@st2704 ale nieustannie są one zablokowane.

W loginie dodałem przedrostek bez_ochrony, strefa zdemilitaryzowana jest wyłączona, a reszta ustawień jest jak na załączonych zdjęciach.

Czy to ja skonfigurowałem coś nie tak, czy jest to wina routera/providera?

 

vmhpt1A

UVVw2e4

1 ZAAKCEPTOWANE ROZWIĄZANIE

Rozwiązanie:

Poziom 16, Badacz Przestworzy
  • 6
  • 2
  • 1

F@st2704 - zablokowane porty

Przerzucilem te wszystkie porty ktore mialem w ustawieniach wirtualnych serwerów na adres bramki i gra nie sprawia już żadnych problemów, więc problem rozwiązany.

Dzięki jeszcze raz za poświęcony czas.

Wyświetl rozwiązanie w oryginalnym poście

14 ODPOW. 14
Anonim

Nie dotyczy
  • 0
  • 0
  • 0

F@st2704 - zablokowane porty

Taki sam temat juz jest porty


Poziom 45, Pionier Misji
  • 33155
  • 41145
  • 1406

F@st2704 - zablokowane porty

na screenach nie widać, żeby portly były zamknięte - w czym rzecz konkretnie?

Poziom 16, Badacz Przestworzy
  • 6
  • 2
  • 1

F@st2704 - zablokowane porty

W tym temacie problem zostal rozwiazany, u mnie to rozwiazanie zwyczajnie nie dziala.


Poziom 45, Pionier Misji
  • 33155
  • 41145
  • 1406

F@st2704 - zablokowane porty

Na ustawieniach nie ma błędu. Z którym portem jest problem? Jakie urządzenie? Jaki serwis? czy działa na innym połączeniu z internetem/innym sprzęcie?

Poziom 16, Badacz Przestworzy
  • 6
  • 2
  • 1

F@st2704 - zablokowane porty

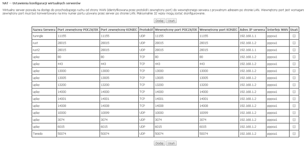
Pomimo tego, że porty do odblokowania są skonfigurowane to nadal ich z zewnatrz nie widać.

Jak dobrze rozmiem to w adresie IP podczas wyzwalania portu mam podać adres IP konkretnie mojego komputera w sieci lokalnej a nie bramki, tak?

 

/edit

Próbuję odblokować porty dla UPLAYA i Rainbow Six: Siege - żaden z widocznych na screenie portów nie jest dostępny z zewnątrz.


Poziom 45, Pionier Misji
  • 33155
  • 41145
  • 1406

F@st2704 - zablokowane porty

To zdecyduj się, czy chcesz odblokować porty (dla korzystania z internetu), czy chcesz łączyć się z zewnątrz z komputerem/routerem. To dwie różne kwestie.

Poziom 16, Badacz Przestworzy
  • 6
  • 2
  • 1

F@st2704 - zablokowane porty

Tak jak napisałem w aktualizacji powyższego posta - próbuję odblokować porty konkretnie dla aplikacji UPLAY i gry Rainbow Six: Siege, aby móc grać na ich serwerach dedykowanych. Problem jest w tym, że ciąglę dostaję wiadomość zwrotną z gry, że te porty są blokowane przez mój router. Ten sam problem jest podczas sprawdzania portów przez http://www.yougetsignal.com/tools/open-ports/


Poziom 45, Pionier Misji
  • 33155
  • 41145
  • 1406

F@st2704 - zablokowane porty

Masz Neostradę (dla osób prywatnych) czy inny internet stacjonarny (dla firm)?

W Neostradzie tego nie włączysz.
Musisz użyć jakiegoś narzędznia do zmiany ipn np. dyndns, vpn czy podobnych.

Wpisz w google hasło serwer przez neostradę czy coś podobnego - jest wiele tutoriali krok po kroku.

Poziom 16, Badacz Przestworzy
  • 6
  • 2
  • 1

F@st2704 - zablokowane porty

Dla osób prywatnych.

Czyli jak rozumiem w neostradzie nie można w ogóle odblokować portów? Ja nie chcę hostować serwerów na swoim komputerze, jedynie do nich dołączać.

No cóż, szkoda, będę musiał zmienić dostawcę w najbliższym czasie w takim razie :x

Dzięki za pomoc i czas!