Rozłączanie Neostrady - parametry linii.


Poziom 13, Tropiciel Przestworzy
  • 24
  • 9
  • 0

Rozłączanie Neostrady - parametry linii.

Dzień dobry,

 

czy poniższe parametry linii mogą tłumaczyć częste (kilka razy dziennie) rozłączanie Neostrady?

 

1.PNG2.PNG

 

 

10 ODPOW. 10
Anonim

Nie dotyczy
  • 0
  • 0
  • 0

Rozłączanie Neostrady - parametry linii.

Przy tym tłumieniu to działa tak jak powinno działać. Tej linii to jest króciutki odcinek. Czy synchronizację zrywa? Ani jednego błędu. Nawet korekcja RS nie występuje. Linia idealna od momentu synchronizacji.


Poziom 13, Tropiciel Przestworzy
  • 24
  • 9
  • 0

Rozłączanie Neostrady - parametry linii.

Odcinek linii jest krótki, bo do centrali mam niecałe 500 metrów.

 

Do października wszystko działało bez zarzutu. Rozłączenia zdarzały się kilka razy w miesiącu. 16 października była jakaś awaria masowa — Neostrada nie działała przez kilkanaście godzin. Od tego czasu zaczęły się problemy. Rozłączenia 3-4 razy dziennie. To wygląda tak, że w pewnym momencie przeglądania internetu nie mogę już przejść na inną stronę. Pojawia się wykrzyknik na wskaźniku sygnału Wi-Fi. W tym czasie wszystkie diody na routerze jeszcze świecą. Po kilkudziesięciu sekundach gaśnie dioda połączenia (między diodą synchronizacji a Wi-Fi). Nie łapie już ponownie, mimo oczekiwania. Muszę po prostu wyłączyć i włączyć router.

 

Zgłaszałem sprawę ok. 1 listopada. Gdy dzwoniłem na infolinię, jakaś Pani zrobiła zdalną diagnostykę linii i stwierdziła, że jest problem z jej stabilnością (czy może stabilizacją?). Na drugi dzień przyjechał technik i stwierdził, że po mojej stronie jest wszystko OK. Na centrali ponoć też. Później bywało różnie. Przez jakieś 2 tygodnie zrywało tak jak przed wizytą technika. Potem zaś była jakaś awaria Neostrady, po której problemy na jakiś czas zniknęły. A teraz, jakoś tygodnia, znowu jest to samo.

Anonim

Nie dotyczy
  • 0
  • 0
  • 0

Rozłączanie Neostrady - parametry linii.

Router to jakiś Tp-link?  Rozłączanie, ale jakie z utratą synchronizacji czy tylko brakiem IP. Jak niema internetu to w tabelce są wartości, jest przyznane IP?  Nawet jakby zerwało synchronizacje to powinno samo zacząć działać i raczej bez resetu routera.  


Poziom 13, Tropiciel Przestworzy
  • 24
  • 9
  • 0

Rozłączanie Neostrady - parametry linii.

Rozłączanie następuje tylko z brakiem  internetu — bez utraty synchronizacji.

 

Router to TP-LINK TD-W8960N.

 

Przyznaję, że po takim zaniku internetu nie przyszło mi nigdy do głowy, żeby zajrzeć do panelu administracyjnego routera, ale tym razem to zrobię i wrzucę screeny z parametrami linii.

 

 

Anonim

Nie dotyczy
  • 0
  • 0
  • 0

Rozłączanie Neostrady - parametry linii.

Jak jest synchronizacja to linia działa prawidłowo. Ostatnio u mnie (dwa razy), ale tylko w nocy nie było przyznawanego IP. Brak internetu dobrą godzinę musieli coś robić lub była jakaś awaria, ale raczej coś było robione. Trzeba się kablem podłączyć dla pewności i zobaczyć czy jest IP. Ja to zawsze patrze w router, a nie na router.

Bez tytułu9.pngBez tytułu10.png

Obrazki ustawienia 

 


Poziom 13, Tropiciel Przestworzy
  • 24
  • 9
  • 0

Rozłączanie Neostrady - parametry linii.

Dziś kolejne rozłączenia. Zrobiłem tym razem screeny z panelu. IP zostało zachowane, diody na routerze świeciły się cały czas (dioda połączenia zgasła dopiero po kilku minutach i wtedy dopiero w panelu zniknęło IP) — jednak na wskaźniku sygnału wi-fi pojawił się wykrzyknik, co widać na dwóch ostatnich screenach. Zaraz po pojawieniu się wykrzyknika na wskaźniku sygnału wi-fi, w panelu routera zaczyna rosnąć liczba błędów.

 

1.PNG

 

2.PNG

 

3.PNG

 

Sugerujesz problemy z wi-fi, ale moim zdaniem przeczy temu kilka faktów:
 
— moje problemy zaczęły się dopiero po "naprawieniu" masowej awarii 16 października 2017,
— w międzyczasie było kilka lub kilkanaście dni (po naprawieniu kolejnej awarii netu — nie pamiętam dokładnie kiedy), gdy takie problemy nie występowały, wróciły dopiero tydzień temu,
kiedy zgłaszałem problem, ludzie z infolinii widzieli w logach, że mnie rozłączało, gdy podałem im godziny wystąpienia problemu — gdyby problem był tylko u mnie, skąd by o tym wiedzieli?
— przez wi-fi mam połączony komputer i telefon, na żadnym z tych urządzeń, w czasie występowania problemu, nie zmniejsza się ani o kreskę siła sygnału, cały czas jest na full.

 

Anonim

Nie dotyczy
  • 0
  • 0
  • 0

Rozłączanie Neostrady - parametry linii.

Ale teraz to są błędy na linii w znacznej ilości to zmienia obraz rzeczy dziwne, że INP jest 0. wkleję obrazek z podobną linią. 

Bez tytułu11.png

wczoraj zdalnie resetowałem można porównać ilość błędów.

Najprawdopodobniej jest niestabilność linii to powiedzieli na infolinii  Jeszcze jest tabelka ATM i tam widać błędy, można jeszcze testem BER przycisk pod tabelką zobaczyć błędy bitowe czas można sobie regulować. 


Poziom 13, Tropiciel Przestworzy
  • 24
  • 9
  • 0

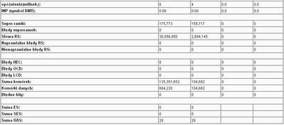
Rozłączanie Neostrady - parametry linii.

Na razie przesyłam screeny tabelki ATM oraz wyników testu BER (360 sekund), które wykonałem w czasie sesji, która trwa nieprzerwanie od ok. 14:00. Wstawię nowe, gdy znów mnie rozłączy.

 

1.PNG2.PNG3.PNG

 


Poziom 13, Tropiciel Przestworzy
  • 24
  • 9
  • 0

Rozłączanie Neostrady - parametry linii.

Kolejne screeny PO wystąpieniu problemu. Niestety, tylko tabelki ATM, bo w czasie robienia jej zrzutów zgasła dioda połączenia i testu BER już się nie udało wykonać.

 

1.PNG2.PNG